芯城品牌采购网 > 品牌资讯 > 技术方案 > 基于CX88168、CX20463和CX20437芯片实现高速MODEM的设计
芯城品牌采购网
8939
随着因特网的普及和发展,上网的用户数正不断增加,各种各样的上网手段层出不穷。但对于广大网民来说,采用MODEM进行数据传输却是一种最常用的接入方式。面对这样一个巨大市场,世界各大芯片制造商相继推出了自己的MODEM芯片组,并不断在简化硬件设计和提高MODEM的传输速率上下功夫。ROCKWELL公司(由CONEXANT公司生产)推出了一款全新的MODEM芯片组--SmartSCM/56S,它能支持新一代计算机高速MODEM标准--V.90,并向下兼容ROCKWELL原有的56k MODEM 标准--K56flex,以及ITU-T的V.34、V.32bis、V.22、V.21等协议标准。其核心芯片是单片调制解调芯片,外加一片CX20463线路接口芯片和一片CX20437语音。该芯片组所用的芯片数较少、外围电路简单,采用它可以较快地设计出体积小、功能强、支持多种协议和多种应用的高速MODEM。
本文将就这种符合V.90标准的高速MODEM的工作模型、硬件构成、设计中应注意的问题等进行系统的描述,最后给出这种MODEM的一些调试方法。
1 V.90高速MODEM的工作模型及原理
在讨论V.90高速 MODEM 电路设计之前,先阐述一下V.90高速MODEM的工作模型和工作原理。
基于V.90 标准的MODEM与通常的V系列MODEM有所不同,它在设计上突破了传统的对称通信模式,采用的是一种不对称的通信模式(如图1所示),使用户在进行终端到网络运营商的连接时(Home to ISP),可以享受56kb/s的下行速率,而上行速率仍然和原有V.34MODEM一样,只有33.6kb/s。

该不对称通信模型与传统的对称通信模型的本质差别在于:ISP点的数字V.90 MODEM是采用B交换局提供的数字专线直接与局间高速数字线路相连,使ISP点到用户的下行信道不再需要经过B交换局交换机中A律A/D转换器,从而突破了因A/D转换器引入量化噪声所产生的MODEM速率瓶颈。
从信息编码角度看,下行信道之所以能达到56kb/s的传输速率,其原因就在于下行方向采用PCM编码技术,ISP点与交换局是通过数字接口连接的,下行数字数据无需进行A律A/D转换,而直接通过数字复接设备进入数字交换网。到达交换局A后,经过一次A律D/A转换和脉冲形成滤波,PCM码就被转换成相应的离散电压,并通过电话线送到客户端V.90模拟MODEM上。客户端V.90模拟MODEM把接收到的信号重新转换成离散的PCM码,并解码输出发端所发送的信息。
本文所设计的模拟V.90 MODEM的解码任务就是鉴别这256个可能的离散电压值(8bit的PCM编码),并将其还原为8000 PCM码/秒(采样率8000次/秒)。因此,从理论上说采用PCM编码技术的模拟V.90 MODEM,其数据下行速率应能接近64kb/s。但是,采用A律解扩技术的D/A转换器在接近于零的各个DAC输出电压太过接近,使得信号在经过噪声线路传输后,模拟V.90 MODEM很难精确地区分出各离散电压,所以,V.90协议在编码端只选用最可靠的128个电压用于56kb/s下行速率。
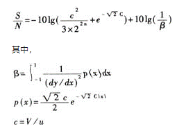
在模拟V.90 MODEM连接的上行信道中,需要经过A交换局的A律A/D转换器,这就必然会引入量化噪声,这种采用A律13折线压缩非均匀量化的信噪比可用下式计算8,即

式中,c表示语音信号的动态范围,p?x表示语音信号的幅度概率密度服从拉普拉斯分布,n为PCM编码的位数,dy/dx表示13折线各段所对应的斜率。根据上述公式,本文给出用MATLAB绘出的A律13折线压缩非均匀量化信噪比的特性曲线(见图2)。

从图2中可看出,语音信号经过一次模/数转换,其信噪比只有35~37dB。一般电话通信设备在设计时,基本上都是按40dB的输入动态范围考虑,如果假设非均匀量化信噪比S/N=35dB,电话线实际可利用的带宽W=3000Hz,根据Shannon定理,在带宽受限的信道上信息传输速率X(bit/s)计算公式为:
X=Wlog2 1+10 S/N /10 5
因而,我们可从理论上估算出本文所设计的模拟V.90 MODEM的上行通信速率应在35 kbit/s以下。用V.34协议进行通信时,上行通信速率限定在33.6 kbit/s以下。
2 V.90高速MODEM的实现及其性能特点
CX88168单片调制解调芯片(SCM)是128pin的TQFP封装,内部包含微控制器(MCU),数据泵(MDP)、256K字节ROM、32K字节RAM以及与DAA的接口电路。此外,CX88168还可以根据实际需要外接256kbit串行EEPROM、4Mbits ROM/flash ROM和1Mbit RAM。与CX88168相配套的DAA芯片是CX20463,用以提供与外围电话电路的模拟接口。如果需要MODEM提供语音功能,还需要增加一片语音编解码芯片CX20437。笔者采用这套芯片组设计了一种基于V.90的高速MODEM,其硬件原理框图如图3所示。

这种高速MODEM总体上可分为三个部分:一个是数字部分,主要完成AT命令的解释和处理、数字信号的调制和解调。以及一些其他数字信号的处理;另一个是DAA模拟线路接口部分(图3中虚线框内),主要提供与电话网的模拟接口;再一个就是语音模拟部分(图3中点划线框内),这部分主要是话筒及麦克风的接口电路。DAA模拟线路接口部分与数字部分通过数字隔离变压器来隔离,CX88168通过隔离变压器传送CX20463所需的数据时钟信号并提供电源,它们之间的数据通过10Pf/2kV的高压电容进行传输。采用这种设计方法可将DAA线路接口部分与MODEM的其它部分完全隔离开来,避免了两部分电路相互干扰,也可防止电话线路的高电压损坏MODEM的调制解调芯片。CX20463及其外围接口分立元件主要完成输入/输出信号的增益控制、振铃检测、数/模转换等功能,并要求在摘机状态下为电话线路提供600Ω的负载。语音编解码芯片CX20437内有A/D、D/A及语音编解码电路,使MODEM增加了语音处理功能。图3中专门配置的EEPROM 用于修改CX88168内ROM的厂家Caller ID设置以及其它用户参数设置。当MODEM上电后会首先调用EEPROM内用户设置的内容。MAX3237用于实现RS232/TTL电平转换。74HC244用于驱动指示用的一组发光二极管。
本文所设计的MODEM具有以下几个性能特点:
(1)支持ITU-T V.90/K56flex/V.34/V.32bit/V.22/V.21协议;
(2)支持ITU-T V.42 LAPM 和 MNP 2-4 数据纠错协议;
(3)支持ITU-T V.42bis 和 MNP 5 数据压缩协议;
(4)支持全双工的语音通话模式;
(5)支持Caller ID功能;
(6)支持即插即用功能;
(7)提供EEPROM电路,使用户可对MODEM应用参数进行设置; (8)+3.3V电源供电,但允许DTE输入TTL电平。
3 V.90高速MODEM设计应注意的问题
MODEM的设计很重要的一环就是抗干扰、抗噪声设计,这里包括器件的选择、各种接口的设计以及电路板的设计等。这是由于MODEM内既有高速数字信号处理电路,又有模拟电路,还有DAA模拟线路接口电路。这三种线路的电气特性各不相同,处理不好极易引起相互间的干扰,轻则使MODEM的速率下降,重则使MODEM无法正常工作。
3.1 器件的选择
MODEM设计中模拟器件的选择是十分讲究的,特别是DAA模拟线路接口部分的电阻、电容、三极管等器件,设计时对这些器件的精度、耐压、容量等参数都有严格的要求。DAA模拟线路接口电路中的阻抗匹配电路、收发电路等就要求其外围电阻采用精密电阻(1%精度),这些电阻的选择将直接影响MODEM速率的高低。而DAA模拟线路接口电路中振铃检测电路、模拟摘机电路、RJ-11接口的抗电磁干扰电路则对所选的电容、三极管的耐压有严格的要求。RJ-11接口的抗电磁干扰电路所用的电容一般要求能有2000V以上的耐压,这主要是为了防止雷击对电路的损害。振铃检测电路的隔直电容均要求有250V以上的耐压,这是为了防止振铃信号(有效值75±15V)击穿电容。构成模拟摘机电路的两个三极管组成达林顿电路,该电路的主要作用是在电话摘机后,为电话线路提供600Ω的负载(电话摘机后,电话线路的环路电流必须大于18mA),要求这两个三极管的耐压要在400V以上,因为在电话振铃期间,MODEM进行模拟摘机时,如果三极管的耐压不够,振铃信号极易击穿管子。图4给出了MODEM的模拟摘机电路。

3.2 电路的抗干扰设计
MODEM电路抗干扰设计是设计中很重要的一环,它涉及许多方面的知识和一些细节问题。限于篇幅,本文仅就设计中应遵循的基本原则和电源连接做一些介绍。
3.2.1 基本原则
·从布局来说,MODEM的数字部分、语音模拟部分、DAA模拟线路接口部分这三部分应各自独立。数字和语音模拟部分占线路板的3/4,DAA模拟部分占1/4。除DAA模拟部分所占区域外的所有空余部分(包括芯片的底部),尽量用数字地填充(双面板的数字地通过过孔多点相连)。
·数字信号线、语音模拟信号线、DAA模拟信号线不要靠在一起平行走线,这样可避免数字信号对模拟信号产生干扰。
·高速数据线、时钟线、晶振引出线等易产生干扰的轨线应尽量短,尽量不经过过孔。所谓的易产生干扰的轨线具体指的是串行数据线、CX88168与连接的时钟线和数据线、CX88168外挂的28.224MHz的晶振引线。
·语音模拟信号线、DAA模拟信号线等易受干扰的轨线也应尽量短,尽量远离数字信号。所谓的易受干扰的轨线主要是指CX20737电路的VREF、VC、麦克风和听筒的引线及CX20463与电话线相连的轨线。
·所有信号线应远离振荡电路,28.224MHz晶振的金属外壳应接地。
·无论是数字地还是模拟地,接地走线都不要形成回环。
·为了减小电磁干扰,MODEM的所有引入线的接口端都应串接高频磁珠,至少在电源接口和电话线接口端要加高频磁珠和高频滤波电容。
·芯片电源和地之间用0.1μF独石电容和10μF的钽电容并接去耦。如果电源走线较长,需每隔一段加一组去耦电容。
3.2.2 电源的连接问题
MODEM内的各部分电路均有自己的电源,各电源间有的相互独立,有的又相互联系。①以CX88168为核心的数字电路部分采用+3.3V电源供电(VCC),数字电路的接地线和电源地接在一起形成大面积的数字地(GND)。②具有A/D和D/A转换功能的语音芯片CX20437的供电电路由两部分组成,数字部分的供电电源还是+3.3V电源供电(VCC),这部分的地线也是数字地(GND);另外一部分是模拟部分,模拟电源线(AVCC)汇集在一起后通过软铁氧体磁珠接入+3.3V电源(VCC),模拟地线(AGND)汇集在一起后通过短路线单点接入数字地(GND)。③以CX20463为核心的DAA模拟线路接口部分的供电也分成模拟和数字两部分,这两部分的电源与+3.3V电源完全隔离,数字部分的电源(DVDD)和模拟部分的电源(AVDD)是通过对隔离变压器次级输出的交变信号进行半波整流、滤波、稳压而得到的, DVDD和AVDD之间用短而粗的轨线相接。这部分的模拟地(AGND-LSD)和数字地(GND-LSD)也是各自汇集成两块地,最后通过短路线单点彼此相连,这部分的地是浮地,和电话线路相接。
4 V.90高速MODEM的功能测试
在确认所有设计、安装、焊接基本上没什么问题后,就可以上电测试MODEM了。MODEM上电后,单片调制解调芯片(CX88168)首先进行自检,DTR指示灯先亮后灭,CTS指示灯在DTR指示灯熄灭后亮起来,这表示MODEM自检通过,处于等待发送状态。将MODEM与计算机串口相连,打开MODEM的电源,并启动超级终端软件,正常情况下DTR指示灯和RTS指示灯常亮,CTS指示灯随后也亮起来,这表明计算机已和MODEM相连,可以进行通信。这时输入“AT”命令,计算机屏幕上应能显示MODEM回送的“OK”信息,自此,基本上可保证MODEM的调制解调部分硬件上没什么问题。如果接入计算机,DTR指示灯不亮,表明数据终端没有和MODEM建立连接,应检查串口电路是否连接正确,是否接口电路设计存在问题。
接下来就是对DAA电路的测试。用 AT命令拨号,如果能拨通电话,就表明DAA电路部分工作正常。如果无法拨通,首先应检查模拟摘机电路工作是否正常,通常在拨号状态下电话线路上的电压应低于10V(这时环路电流并不好测),如达不到该要求应调整模拟摘机电路的相关参数。
上述过程都测试完成后,接下来就是对语音电路和Call ID功能的测试。

根据表1所提供的有关MODEM语音模式的AT命令,用户就可以利用MODEM的语音功能和普通电话用户通话。如果对方听到的声音呈断续状态,表明MODEM的麦克风输入增益调得太高,造成语音信道阻塞,这时可调整麦克风输入增益,或将话筒适当拿远一些。如果用户有申请Call ID功能,那么计算机在收到第一个MODEM返回代码“R”后,就可以收到Call ID信息。当MODEM初始化命令设为“AT+VCID=1”时,Call ID信息是以ASCII码形式返回,信息格式如下(以实际收到的数据为例):
DATE = 1103
TIME = 1610
NMBR = 2183056
如果无法正确显示,应检查一下MODEM的国家代码设置是否正确,写入EEPROM内的有关Call ID 的设置是否正确。
完成上述几个步骤的测试后,最后是对MODEM进行系统测试。用所设计的MODEM拨号上网,用“AT#UD”、“AT%L”、“AT%Q”测试MODEM,如果发现MODEM的传输速率偏低,这一般是由于MODEM与电话线相接的匹配电阻精度和稳定性不高,或是电路板的设计、布局及本身质量出了问题造成的。可以适当调整匹配电阻,或是重新设计电路板,直到获得满意的效果为止。
免责声明:
文章内容转自互联网,不代表本站赞同其观点;
如涉及内容、图片、版权等问题,请联系2644303206@qq.com我们将在第一时间删除内容!